primary care hazard ky facebook


12 States Share The Ongoing Effects Of Covid 19 On Home Care In Their State Home Care Pulse


Pharmacy Primary Care Centers Of Eastern Kentucky


Update February 2022 Lymphatic Research And Biology


Kradd Staff Kentucky River Area Development District Facebook


Nutrients Free Full Text Identification Of Mortality Risks In The Advancement Of Old Age Application Of Proportional Hazard Models Based On The Stepwise Variable Selection And The Bayesian Model Averaging Approach


What Emergency Supplies Do I Need For An Earthquake U S Geological Survey


Secondary Immunodeficiency Related To Kidney Disease Sidkd Definition Unmet Need And Mechanisms American Society Of Nephrology


Christie D Herald Primary Care Centers Of Eastern Kentucky


Gear Up Soar Home Facebook


Iprs Lumhs Exams Activities Home Facebook


Neonatal Intensive Care Unit Nicu Uk Healthcare


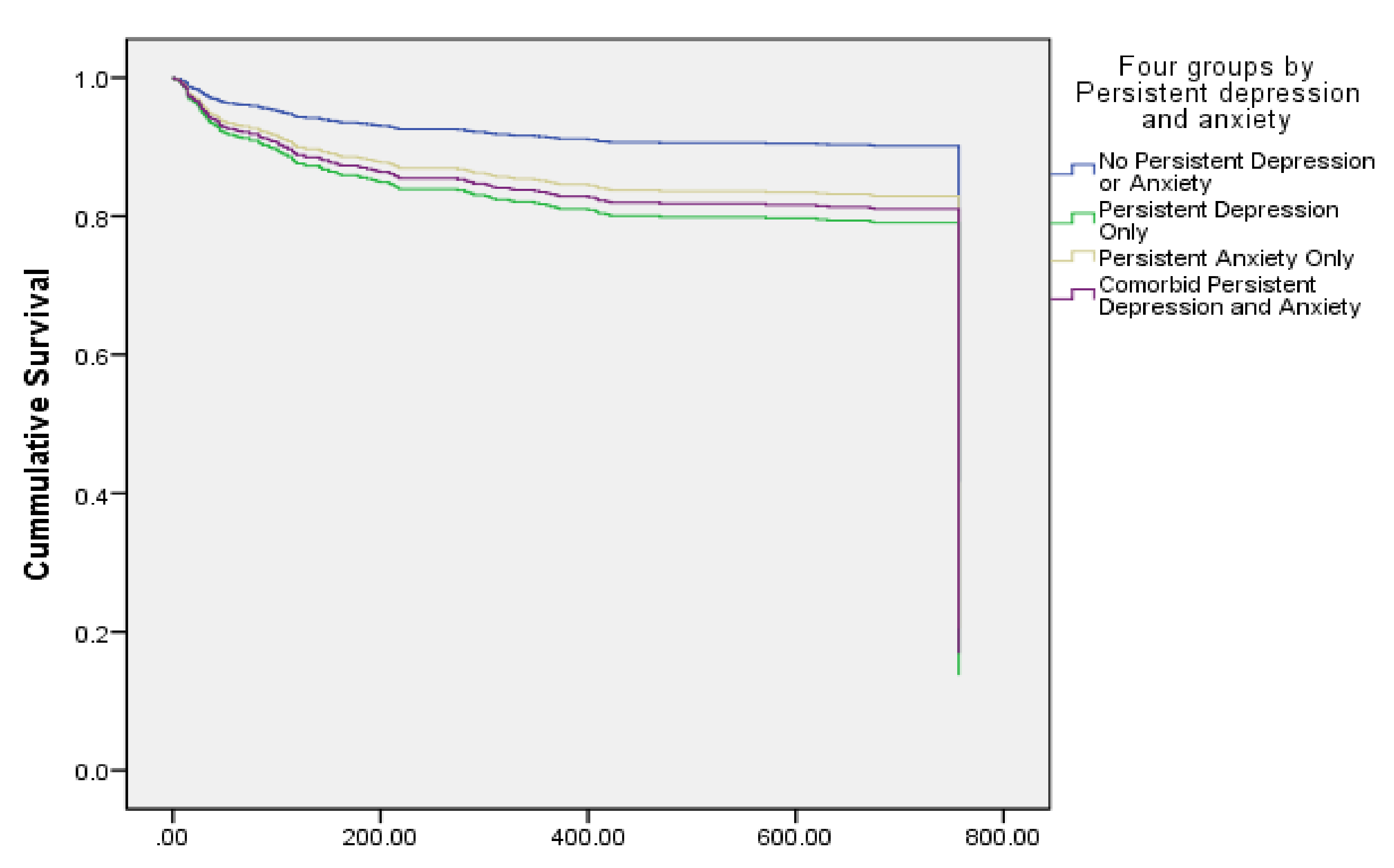
Healthcare Free Full Text The Association Of Persistent Symptoms Of Depression And Anxiety With Recurrent Acute Coronary Syndrome Events A Prospective Observational Study Html


2


Update February 2022 Lymphatic Research And Biology


2


Primary Care Centers Of Eastern Kentucky Covid 19 Rapid Antibody Testing Results In 5 Minutes Starting Friday May 22 2020 Pccek Will Offer Testing At Our Hazard Pccek Location Only Antibody Testing


Daily Challenges Of Qc Technicians With Endotoxin Testing Fujifilm Wako


Abstract 2016 Pharmacoepidemiology And Drug Safety Wiley Online Library


Kradd Staff Kentucky River Area Development District Facebook


Gear Up Soar Home Facebook

Iklan Atas Artikel

Iklan Tengah Artikel 1

Iklan Tengah Artikel 2

Iklan Bawah Artikel